Contents
1. RC 발진기란?
RC 발진기는 저항기(Resistor, R)와 커패시터(Capacitor, C)를 조합하여 특정 주파수의 교류 신호를 생성하는 회로입니다.
이 발진기는 주로 저주파 영역에서 사용되며, 복잡한 회로 설계 없이도 비교적 쉽게 원하는 주파수를 얻을 수 있는 장점이 있습니다.
전자 기기나 측정 장비에서 자주 사용되는 발진기 중 하나이며, 주로 RC 발진기 원리에 따라 회로가 구성됩니다.
1-1) RC 발진기의 기본 개념
RC 발진기의 기본 개념은 저항기와 커패시터를 이용해 교류 전류의 위상 차이를 만들어내고, 이를 통해 발진(oscillation)을 지속시키는 것입니다.
발진기에서 중요한 요소는 회로 내부에서 생성된 신호가 피드백(feedback)을 통해 회로로 다시 전달되는 것입니다.
이러한 피드백을 통해 진동이 계속 유지되며, RC 발진기 원리는 이 피드백 메커니즘을 기반으로 작동합니다.

RC 발진기에서 커패시터는 전하를 저장하고 방출하며, 저항기는 전류의 흐름을 제한하는 역할을 합니다.
이 두 부품이 교대로 에너지를 전환하면서 주파수가 형성됩니다.
이 회로에서 중요한 점은 위상이 정확히 360도 또는 0도로 맞춰져야 한다는 것입니다.
그 결과, 발진이 유지되며 안정적인 주파수가 생성됩니다.
1-2) RC 발진기의 역사 및 응용
RC 발진기의 개념은 20세기 초반에 등장했으며, 특히 Wien-Bridge 발진기와 같은 회로는 저주파 신호 발생에 널리 사용되었습니다.
RC 발진기 원리는 주로 오디오 주파수 범위에서 신호를 생성할 때 많이 응용되며, 이러한 특성 때문에 오디오 장비, 주파수 생성기, 그리고 측정 장비 등 다양한 분야에서 사용됩니다.
RC 발진기의 가장 큰 특징 중 하나는 설계가 매우 간단하다는 점입니다.
예를 들어, “간단한 발진 회로를 만들고 싶은데, 무엇을 사용하면 좋을까요?”라는 질문이 있다면, RC 발진기를 추천하는 답변이 많이 있을 것입니다.
이는 추가적인 부품 없이도 기본적인 저항과 커패시터만으로 발진을 쉽게 구현할 수 있기 때문입니다.
또한, RC 발진기는 다른 LC 발진기와 달리 인덕터가 필요하지 않아 소형 회로에 적합하며, 설계가 매우 유연합니다.
다만, 저주파 영역에서 주로 사용되므로 고주파 응용에서는 성능이 제한될 수 있습니다.
예를 들어, 라디오 주파수 발생기보다는 오디오 주파수 발생기에 적합하다는 점이 RC 발진기의 응용 범위를 결정짓는 요소입니다.
- 연관 참조 : LC 발진기란?, 구성 요소, 공진 주파수 계산, 회로 설계 방법
- 연관 참조 : Hartley 발진기 원리, 동작, 주파수 계산, 예제, 장.단점
- 연관 참조 : Colpitts 발진기 원리, 동작, 발진 회로, 주파수 계산, 예제1, 장.단점
- 연관 참조 : Wien 브릿지 발진기 원리,예제 풀이, 장.단점
- 연관 참조 : 수정 발진기 원리,등가회로, 임피던스, 리액턴스, 예제풀이, Q-factor
2. RC 발진기의 동작 원리
RC 발진기의 동작 원리는 저항기(R)와 커패시터(C)를 이용해 주파수를 생성하고, 이를 유지하는 피드백 메커니즘에 기반합니다.
RC 발진기 원리는 회로 내에서 전압과 전류의 위상을 변화시키며 진동을 지속적으로 유지하는 것이 핵심입니다.
발진기의 출력은 일정한 주파수의 교류 신호를 발생시키며, 이는 주로 저주파수 신호를 필요로 하는 다양한 응용 분야에서 사용됩니다.
2-1) RC 회로에서의 주파수 생성
RC 발진기 원리는 저항기와 커패시터의 조합을 통해 주파수를 생성합니다.
커패시터는 전하를 저장하고 방출하면서 신호의 위상을 변화시키고, 저항기는 전류의 흐름을 제한하여 진동 주기를 결정짓습니다.
이 과정에서 전하가 축적되고 방출되는 주기가 주파수에 영향을 미치게 됩니다.
RC 발진기의 진동 주파수는 f=1/2πRC.
이 공식에서 주파수(f)는 저항기(R)와 커패시터(C)의 값에 반비례합니다.
즉, 저항기나 커패시터의 값을 변경하면 진동 주파수가 달라지며, 이를 통해 원하는 주파수 대역을 설정할 수 있습니다.
이러한 RC 발진기 원리를 이용해 다양한 주파수 대역에서 발진기를 설계할 수 있습니다.
2-2) 위상 변화를 통한 진동 유지
RC 발진기 원리에서 중요한 요소 중 하나는 피드백입니다.
피드백은 회로에서 발생한 신호의 일부를 다시 입력으로 전달해, 진동이 지속되도록 합니다.
이 과정에서 저항기와 커패시터는 전류의 흐름을 조절하고, 전압과 전류 사이의 위상 차이를 만듭니다.
이 위상 차이가 180도가 되어야 발진이 유지됩니다.
RC 발진기 회로는 보통 여러 개의 RC 네트워크가 직렬로 연결된 구조로 설계됩니다.
이 네트워크에서 각 RC 조합은 약 60도씩의 위상 변화를 일으킵니다.
따라서 3개의 RC 네트워크는 180도의 위상 변화를 만들어 발진 회로에 필요한 위상 조건을 만족시킵니다.
위상 변화가 적절히 유지되면 발진이 안정적으로 지속되며, RC 발진기 원리가 완성됩니다.

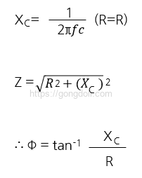
왼쪽 회로는 하나의 저항-커패시터(RC) 네트워크를 보여주며, 이 회로에서 출력 전압은 입력 전압에 비해 90도보다 작은 각도로 “선행”합니다.
이상적인 단일 폴 RC 네트워크에서는 최대 90도의 위상 변화를 생성할 수 있으며, 발진을 위해서는 180도의 위상 변화가 필요하므로, RC 발진기 설계에서는 최소 두 개의 단일 폴 네트워크를 사용해야 합니다.
하지만 현실적으로는 각 RC 단계에서 정확히 90도의 위상 변화를 얻는 것이 어렵기 때문에, 목표 주파수에서 필요한 위상 변화를 얻기 위해 여러 개의 RC 단계를 연결하여 사용해야 합니다.
실제 회로에서 발생하는 위상 변화의 양은 저항(R)과 커패시터(C)의 값, 그리고 선택한 발진 주파수에 따라 달라집니다.
위상 각(φ)은 다음과 같은 공식에 의해 주어집니다.

여기서, XC는 커패시터의 용량성 리액턴스, R은 저항, ƒ는 주파수입니다.
세 개의 RC 네트워크를 직렬로 연결하면 선택한 주파수에서 회로의 총 위상 변화가 180도가 되어, 이를 기반으로 “RC 발진기” 또는 위상 변이 발진기가 만들어집니다.
각 단계에서 위상 각이 변하는 방식으로 작동하는데, 이를 통해 발진 주파수를 유지할 수 있습니다.
이 방식은 위상 각이 각 RC 단계에서 변화하며 최종적으로 180도의 위상 이동을 만들게 됩니다.
편리하게도, 여러 RC 단계를 함께 사용할 수 있는 쿼드 IC 패키지 형태의 연산 증폭기(op-amp)도 있습니다.
예를 들어, LM124, LM324와 같은 칩을 사용하면, 네 개의 RC 단계를 활용하여 필요한 주파수에서 180도의 위상 변화를 만들 수 있습니다.
우리는 이미 바이폴라 트랜지스터 또는 반전 연산 증폭기를 사용하는 증폭기 회로가 입력과 출력 간에 180도의 위상 변화를 일으킨다는 것을 알고 있습니다.
세 개의 RC 위상 이동 네트워크를 증폭기 회로의 출력과 입력 사이에 피드백 네트워크로 연결하면, 필요한 재생성 피드백을 얻기 위해 총 360도(즉, 0도)의 위상 변화가 발생합니다.
이는 각 RC 단계에서 60도의 위상 이동이 이루어져 총 180도가 더해진 것입니다.

세 개의 RC 단계를 직렬로 연결하여 안정적인 발진 주파수를 생성할 수 있으며, 피드백 루프에서 각 단계당 -60도의 위상 변화를 가져와 총 -180도의 위상 변화를 일으킵니다.
이 주파수에서 RC 발진기 원리에 따라 회로는 안정적으로 동작하게 됩니다.
3. RC 발진기의 기본 회로
기본 RC 발진기 회로는 “위상 이동 발진기(Phase-shift Oscillator)”라고도 불리며, 저항-커패시터(RC) 사다리 네트워크를 통해 생성된 재생 피드백을 이용해 사인파 출력을 만들어냅니다.
이 재생 피드백은 LC 탱크 회로와 유사하게 커패시터가 전하를 저장할 수 있는 성질 덕분에 발생합니다.

위상 이동 네트워크는 위상 선행(Phase Advance) 또는 위상 지연(Phase Retard) 네트워크로 연결할 수 있으며, 어느 경우든 상관없이 전체 위상 이동이 360도에 도달할 때 사인파 진동이 발생합니다.
RC 네트워크의 저항 또는 커패시터 중 하나 이상의 값을 조정함으로써 발진 주파수를 변경할 수 있으며, 일반적으로 저항 값은 그대로 두고 커패시터의 값만 변경합니다.
이는 커패시터가 주파수에 민감한 부품이기 때문에, 주파수가 바뀌면 커패시턴스도 변하기 때문입니다.
다만, 주파수를 변경할 경우 증폭기의 전압 이득을 다시 조정해야 할 수도 있습니다.
만약 세 저항 R1, R2, R3이 모두 동일한 값이고, 세 커패시터 C1, C2, C3도 동일한 값이라면, RC 발진기에서 생성되는 진동의 주파수는 다음 공식으로 계산할 수 있습니다.

여기서,
ƒr은 오실레이터 출력 주파수(Hz)
R은 피드백 저항(R)
C는 피드백 커패시턴스(F)
N은 RC 피드백 단계의 수
예를 들어, 세 단계 RC 네트워크가 있다면 N = 3이고, 주파수는 이 값에 기반해 결정됩니다.
네 단계라면 N = 4로 계산되며, 네트워크의 단계 수에 따라 주파수가 달라집니다.
RC 발진기 네트워크는 각 단계에서 신호의 세기를 줄이는 감쇠기 역할도 합니다.
흔히 오해하는 것과 달리, 각 단계는 독립적으로 작동하지 않으며, 전체 네트워크의 누적 피드백 감쇠가 -1/29로 감소합니다.
즉, 증폭기 이득이 RC 네트워크에서 발생하는 감쇠를 상쇄할 만큼 충분히 커야 합니다.
예를 들어, 세 단계 네트워크에서는 증폭기의 이득이 최소한 29 이상이어야 진동이 유지될 수 있습니다.
또한, 증폭기의 부하 효과는 발진기의 주파수에 영향을 미칠 수 있으며, 계산된 주파수보다 최대 25%까지 높아질 수 있습니다.
따라서 RC 네트워크는 높은 임피던스 출력을 사용하는 것이 이상적이며, 저임피던스 부하, 예를 들어 공통 이미터 트랜지스터 증폭기와 같은 회로에 연결해야 합니다.
가장 좋은 선택은 연산 증폭기(Op-Amp)를 사용하는 것으로, 이는 이러한 조건을 완벽하게 충족시키기 때문입니다.
4. OP Amp을 이용한 RC 발진기 회로
RC 발진기에서 작동하는 연산 증폭기(Operational Amplifier) 회로는 트랜지스터 기반 회로보다 훨씬 더 자주 사용됩니다.
이 회로는 음성 이득을 갖는 연산 증폭기와 180도의 위상 이동을 제공하는 3단 RC 네트워크로 구성됩니다.
RC 네트워크는 증폭기의 출력에서 ‘반전 입력'(Inverting Input)으로 연결되어 피드백을 제공합니다.
4-1) Op-amp RC 발진기 : 위상 리드(Phase-lead) 구성

우선, RC 발진기 원리를 이해하기 위해 ‘위상 리드(Phase-lead)’ 구성을 살펴보면, 회로에서 피드백이 연산 증폭기의 반전 입력에 연결됩니다.
이로 인해 연산 증폭기는 반전 증폭기로 동작하며, 180도의 위상 이동을 만듭니다.
RC 네트워크 또한 180도의 위상 이동을 추가로 제공하므로, 전체적으로 360도(180도 + 180도)의 위상 이동이 이루어집니다.
이 ‘위상 리드’ 구성에서 커패시터는 직렬로 연결되고, 저항은 접지(0V)에 연결되어 있습니다.
이 방식에서는 출력 전압이 입력 전압보다 앞서며, 결과적으로 양의 위상각을 형성합니다.
쉽게 말해, 입력 전압보다 출력 전압이 ‘앞서’ 나오는 현상이 발생하는 겁니다.
4-2) Op-amp RC 발진기: 위상 지연(Phase-lag) 구성
반면, RC 발진기 원리를 이용해서 위상 지연(Phase-lag) 구성을 사용하려면, RC 네트워크에서 저항과 커패시터의 위치를 바꿔야 합니다.
즉, 저항이 직렬로 연결되고, 커패시터가 접지(0V)에 연결됩니다.
이러한 구성에서는 출력 전압이 입력 전압보다 뒤처지게 되어 음의 위상각을 형성합니다.

이처럼 RC 발진기 원리는 피드백 네트워크에서 어떻게 위상 이동을 생성하는지에 따라 리드 또는 지연 구성으로 나눌 수 있습니다.
그리고 이런 위상 이동은 발진기를 안정적으로 동작하게 만드는 핵심 요소입니다.
4-3) 주파수 공식과 안정성
위상 이동 발진기에서 가장 중요한 요소 중 하나는 주파수 안정성입니다.
이는 부하 조건이 변하더라도 일정한 주파수의 사인파 출력을 유지할 수 있는 능력을 말합니다.
기본적으로, 두 개의 RC 네트워크만 사용하여 180도의 위상 이동을 만들 수 있지만, 이렇게 설계된 발진기는 낮은 주파수에서 안정성이 떨어지는 경향이 있습니다.
그렇기 때문에, 3단 또는 4단 RC 네트워크(각 단계당 45도의 위상 이동)를 사용하는 것이 더 안정적인 발진기 설계를 가능하게 합니다.
특히, 4단 RC 발진기가 자주 사용되는 이유 중 하나는, 연산 증폭기(Op-amp)가 보통 4개의 증폭기를 한 패키지로 제공하는 쿼드 IC로 쉽게 구할 수 있기 때문입니다.
이때 각 단계가 45도의 위상 이동을 가지게 되어, 매우 안정적인 주파수 출력을 제공할 수 있게 됩니다.
RC 발진기 원리는 1/RC에 비례하는 주파수를 생성하는 특징이 있으며, 가변 커패시터를 사용하면 더 넓은 주파수 범위를 지원할 수 있습니다.
하지만 RC 발진기는 높은 주파수에서 위상 이동을 충분히 제공하는 데 제약이 있어, 주파수 범위에는 한계가 있습니다.
이처럼 RC 발진기 원리는 낮은 주파수에서 매우 안정적이며, 다양한 용도로 사용할 수 있습니다.
가변 저항 또는 가변 커패시터를 통해 주파수를 조정하는 것도 매우 유연하며, 특히 고정밀 주파수 발진이 요구되는 저주파 응용 분야에서 많이 사용됩니다.
4-4) 예제
연산 증폭기를 기반으로 한 3단 RC 위상 이동 발진기가 4kHz의 사인파 출력을 발생시키도록 설계하려고 합니다.
피드백 회로에 2.4nF 커패시터를 사용한다면, 주파수를 결정하는 저항값과 발진을 유지하기 위한 피드백 저항값을 계산하고, 회로를 그려보겠습니다.
3단 RC 위상 이동 발진기의 주파수는 다음 공식으로 계산하면

- 여기서
f는 원하는 주파수 (Hz)
R는 저항값 (Ω)
C는 커패시터 값 (F)
6은 3단 RC 회로에서 나오는 상수
주어진 값을 보면
원하는 주파수 (f) = 4 kHz = 4000 Hz
커패시턴스 (C) = 2.4 nF = 2.4×10−9 F
R을 구하기 위한 공식 변형하면

따라서 저항 R 값은 약 6.8 kΩ입니다.
3단 RC 위상 이동 발진기의 경우, 발진을 유지하려면 전압 이득 Av가 최소 29가 되어야 합니다.
이는 피드백 감쇠가 약 1/29 이기 때문입니다.
피드백 저항 Rf는 연산 증폭기의 이득을 설정하며, 반전 증폭기 구성에서는 이득이 다음과 같습니다.

따라서 피드백 저항값은 약 197.2 kΩ입니다.

5. RC 발진기 장.단점
RC 발진기 원리는 그 간단한 설계와 저주파에서의 탁월한 성능 덕분에 많은 응용에서 자주 사용되는 발진기입니다.
그러나 고주파로 가면 성능에 한계가 있는 특성도 존재합니다.
5-1) 간단한 설계와 저주파 성능
RC 발진기 원리 중 가장 큰 장점 중 하나는 설계의 간단함입니다.
초보자도 이해하기 쉽게 접근할 수 있는 회로로, 몇 가지 기본 부품만으로 발진기를 만들 수 있습니다.
주로 저주파 대역에서 안정적인 성능을 제공하기 때문에, 주파수를 크게 높일 필요가 없는 응용에 적합합니다.
RC 발진기 원리는 저항(R)과 커패시터(C)의 값만으로도 쉽게 주파수를 설정할 수 있기 때문에, 많은 초보 회로 설계자들이 RC 발진기를 처음 배우고 사용할 때 선호합니다.
또한, RC 발진기 원리는 저주파에서 신뢰성이 높아 다양한 제어 회로나 오디오 응용에서도 자주 사용됩니다.
이러한 저주파에서의 안정성 덕분에 정밀한 주파수 조정이 필요한 응용에서도 두각을 나타냅니다.
5-2) 고주파에서의 성능 한계
하지만, RC 발진기는 고주파에서는 한계를 보입니다.
그 이유는 RC 회로의 기본 구조적 한계에 있습니다.
RC 발진기의 주파수는 저항(R)과 커패시터(C)의 값에 의존하는데, 주파수를 높이기 위해선 커패시턴스 값을 매우 작게 하거나 저항값을 줄여야 합니다.
그러나 현실적으로 커패시터와 저항이 너무 작아지면 회로의 정확성과 안정성에 문제가 생길 수 있습니다.
특히 고주파 대역에서는 커패시터의 리액턴스가 매우 작아지므로, 회로 내 다른 요소들과 상호작용이 더 강하게 나타나 위상 이동에 문제가 생기거나 잡음에 취약해집니다.
그래서 RC 발진기는 일반적으로 수백 kHz 이하의 저주파에서만 효율적으로 사용할 수 있으며, 고주파 대역에서는 다른 발진기(예: LC 발진기)로 대체되는 경우가 많습니다.
또한, 고주파에서는 부품의 기생 용량이나 저항의 기생 인덕턴스 등이 성능에 영향을 미쳐 발진기가 원활하게 동작하지 않을 수 있습니다.
이러한 이유로 RC 발진기 원리로 인해 고주파 응용에서는 사용이 제한될 수밖에 없는 것입니다.
이를 해결하기 위해서는 회로를 복잡하게 만들어야 하는데, 그럴 바에는 더 효율적인 LC 발진기나 크리스털 발진기를 사용하는 것이 일반적입니다.
Some truly interesting details you have written.Aided me a lot, just what I was looking for : D.
Thank you so much! I’m glad the details were helpful and exactly what you were looking for
I got good info from your blog
Thank you! I’m glad you found my blog helpful
Wow, amazing blog layout! How long have you been blogging for? you made blogging look easy. The overall look of your site is great, let alone the content!
Thank you so much for your kind words—they truly mean a lot to me!
I’ve been blogging for around two years, although I haven’t been able to update it lately due to work commitments.
I’m really happy to hear that you enjoyed both the layout and the content. Your message genuinely brightened my day!
Very nice style and design and wonderful content material, practically nothing else we want : D.
Thank you so much for your kind words!
I’m thrilled to hear that you enjoyed the style, design, and content.
What’s Happening i’m new to this, I stumbled upon this I have found It absolutely useful and it has aided me out loads. I hope to contribute & help other users like its helped me. Good job.
Welcome, and thank you so much for your kind words!
I’m really glad this has been helpful for you.
I like this weblog its a master peace ! Glad I discovered this on google .
Thank you so much for your kind words!
I’m thrilled that you found this blog and enjoyed it.
Thanks for sharing superb informations. Your site is so cool. I’m impressed by the details that you have on this site. It reveals how nicely you understand this subject. Bookmarked this website page, will come back for more articles. You, my friend, ROCK! I found just the info I already searched everywhere and just couldn’t come across. What a great site.
Thank you so much for your amazing feedback!
I’m truly glad the site provided the information you were looking for, and it means a lot to hear that you’ve bookmarked it.
Hmm it looks like your website ate my first comment (it was super long) so I guess I’ll just sum it up what I submitted and say, I’m thoroughly enjoying your blog. I as well am an aspiring blog writer but I’m still new to everything. Do you have any recommendations for rookie blog writers? I’d really appreciate it.
Thank you for your comment!
If I could offer one piece of advice to rookie bloggers, it would be this: don’t give up, and enjoy the process.
Keep writing consistently, and most importantly, stay true to your own voice. Blogging isn’t about being perfect—it’s about expressing yourself and growing along the way. Just have fun with it!
Throughout this great scheme of things you actually receive a B- for effort. Exactly where you actually misplaced me was on all the details. You know, people say, details make or break the argument.. And that couldn’t be much more accurate right here. Having said that, let me say to you what did give good results. The text is highly persuasive and this is most likely why I am making an effort to opine. I do not really make it a regular habit of doing that. Next, although I can easily notice a jumps in logic you come up with, I am not confident of how you seem to connect your points which in turn make the actual final result. For right now I will, no doubt subscribe to your issue but hope in the near future you connect your facts better.
Thank you for such a thoughtful and honest critique.
I truly appreciate the time you took to reflect on both the strengths and the gaps.
You’re absolutely right—details are the backbone of any strong argument, and I’ll work on making those connections clearer moving forward.
I do agree with all the ideas you’ve presented in your post. They’re very convincing and will certainly work. Still, the posts are very short for starters. Could you please extend them a little from next time? Thanks for the post.
Thanks! I’ll try to make future posts more detailed.
Great write-up, I’m normal visitor of one’s website, maintain up the excellent operate, and It’s going to be a regular visitor for a long time.
Thanks so much—glad to have you as a regular visitor!
Very nice article and straight to the point. I don’t know if this is actually the best place to ask but do you folks have any thoughts on where to get some professional writers? Thanks 🙂
Thank you—I don’t have specific suggestions, but I appreciate your interest.
I like what you guys are up too. Such clever work and reporting! Carry on the superb works guys I have incorporated you guys to my blogroll. I think it will improve the value of my web site :).
Thank you!
I truly appreciate your support and inclusion in your blogroll.
Just a smiling visitor here to share the love (:, btw great style and design. “Better by far you should forget and smile than that you should remember and be sad.” by Christina Georgina Rossetti.
Thank you
Thank you for every other informative website. Where else could I am getting that type of info written in such a perfect manner? I have a project that I am simply now operating on, and I’ve been on the glance out for such information.
I’m grateful you found the information helpful.
Wishing you success with your project!
It is perfect time to make a few plans for the long run and it is time to be happy. I have learn this put up and if I could I want to counsel you some attention-grabbing issues or tips. Maybe you could write next articles regarding this article. I wish to learn even more things about it!
Thank you for your thoughtful suggestion. We’ll consider writing more articles on related topics.
You have mentioned very interesting details! ps nice site.
Thank you! I’m glad you found the details interesting and liked the site.
I would like to thnkx for the efforts you have put in writing this blog. I am hoping the same high-grade blog post from you in the upcoming as well. In fact your creative writing abilities has inspired me to get my own blog now. Really the blogging is spreading its wings quickly. Your write up is a good example of it.
Thank you for your kind words. I’m glad the post inspired you and that you found it valuable.